Elizabeth Langdon
Hola, soy Elizabeth nací el 8 de febrero de 1879. Fui muy buena estudiante,de las primeras mujeres que consiguió graduarse en el Instituto de Tecnología de Massachussets. Más tarde estuve participando en un proyecto en el cual se suponía que un planeta (x) afectaba a las órbitas de Neptuno y Urano, yo hice de calculadora humana y basándome en las diferencias en las órbitas de estos dos planetas descubrí la distancia que había a un planeta desconocido que hoy en día se identifica como Plutón
rectas
- Página Principal
- PROGRAMA PARA RESOLVER ECUACIONES
- ECUACIONES DE 2º GRADO
- CRITERIOS DE EQUIVALENCIA
- Polinomios
- Lectura
- LOGARITMOS
- CONJUNTOS NUMÉRICOS
- ELIZABETH
- Práctica rectas y parábolas
- TRIGONOMETRÍA
- Experimento Erastótenes
- Número e
- Número e
- Geometría
- Rectas y Parábolas
- F. polinómicas
- F. racionales
- F. irracionales
- F. exponenciales
- F. trigonométricas
domingo, 5 de junio de 2022
VALORACIÓN FINAL DEL CURSO
Mi recorrido en la ESO llega a su fin y comparando mis conocimientos actuales con los del principio de este curso, 4°, me ha enseñado no solo contenidos tanto de matemáticas como de otras asignaturas, si no también, que antes de dar algo por perdido, hay que perseverar y trabajar duro, porque al final el esfuerzo se nota, y eso lo he comprobado este curso, ya que a pesar de no empezar con muy buen pie, he podido remontar y organizarme, viendo una mejora notoria en el ámbito educativo pero también en el personal.
Estadística y probabilidad
La Estadística es la parte de las Matemáticas que se encarga del estudio de una determinada característica en una población, recogiendo los datos, organizándolos en tablas, representándolos gráficamente y analizándolos para sacar conclusiones de dicha población. Se recolecta, analiza, describe y estudia una serie de datos a fin de establecer comparaciones o variabilidades que permitan comprender un fenómeno en particular.
La probabilidad La probabilidad es el cálculo matemático que evalúa las posibilidades que existen de que una cosa suceda cuando interviene el azar. Se obtiene la frecuencia de un acontecimiento determinado mediante la realización de un experimento aleatorio, del que se co- nocen todos los resultados posibles, bajo condiciones su- ficientemente estables.
Derivada e integral de una función
La derivada de una función matemática es la razón o velocidad de cambio de una función en un determinado punto. Es decir, qué tan rápido se está produciendo una variación. Desde una perspectiva geométrica, la derivada de una función es la pendiente de la recta tangente al punto donde se ubica x.
Por otro lado la integral de una función es el proceso inverso a la derivación, representa el área limitada por la gráfica de la función.
Geometría
La geometría es una rama de las matemáticas que se dedica al estudio de las figuras en un plano o espacio. Así, analiza sus características y medidas como el perímetro, área y volumen.
En este caso estaremos viendo la geometría plana, dedicaré una página a hablar de ella de forma más extensa.
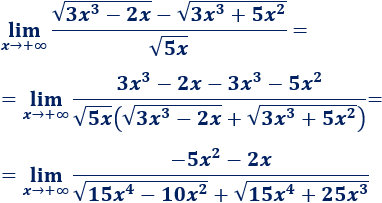
Concepto de límite
El límite de una función es un concepto fundamental del análisis matemático aplicado a las funciones.
En matemáticas, el límite de una función en un punto o el de una sucesión es el valor único al que se acerca la función cuando la variable independiente x se aproxima, tan cerca como queramos, a un valor establecido o es el término de una sucesión cuando el índice n tiende al infinito.
Experimento de Erastótenes.
Eratóstenes nació en Cirene en el año 276 a. C y se cree que era de origen caldeo. Fue matemático, astrónomo y geógrafo. Una de sus principales contribuciones a la ciencia y a la astronomía fue su trabajo sobre la medición de la Tierra. Dedicaré una página a hablar más detalladamente de este experimento.
Trigonometría
La trigonometría es una rama de la matemática cuyo significado etimológico es 'la medición de los triángulos'. Deriva de los términos griegos τριγωνοϛ trigōnos 'triángulo' y μετρον metron 'medida'.
Hiparco construyó una tabla de cuerdas, que equivalía a una moderna tabla de senos. Con la ayuda de dicha tabla, pudo fácilmente relacionar los lados y los ángulos de todo triángulo plano, es considerado el padre de la trigonometría.
Suscribirse a:
Comentarios (Atom)
-
Mi recorrido en la ESO llega a su fin y comparando mis conocimientos actuales con los del principio de este curso, 4°, me ha enseñado no sol...
-
La geometría es una rama de las matemáticas que se dedica al estudio de las figuras en un plano o espacio. Así, analiza sus características ...
-
El límite de una función es un concepto fundamental del análisis matemático aplicado a las funciones. En matemáticas, el límite de una func...






